-
美“对等关税”税率的算法可能会让你惊呆
-
据新华社北京4月3日电 美国政府如何计算得出“对等关税”税率?其税率评估依据为何遭到媒体和专家质疑?
——官方有公式
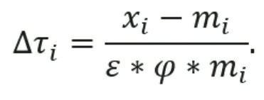
美方表示,上述“综合税率”是把贸易伙伴对美关税税率、所谓“货币操纵”因素及其他非关税壁垒累计起来得出的一个数据。这个数怎么来的呢?美国贸易代表办公室网站放出了一个计算公式:
乍一看这个公式有点复杂,但是别怕,美方果断“简化”了:他们经过所谓核算,将φ、ε两个系数分别给定为0.25和4,所以这俩数乘积是1,因此上述公式可简化表达为,综合税率=美方出口额-美方进口额/美方进口额。
当然有网友指出,这个公式大多数情况下算出来应该先是个负数。所以姑且理解美方取的是绝对值吧。
——专家很崩溃
美国彼得森国际经济研究所高级研究员、前财政部官员加里·赫夫鲍尔告诉新华社记者,特朗普政府对贸易伙伴的“对等关税”计算方法“没有任何依据”,“完全是无中生有”。
美国《纽约客》专栏记者、《大西洋》月刊撰稿人詹姆斯·苏罗维茨基表示,白宫计算“对等关税”所依据的“综合税率”完全是“胡说八道”,韩国、欧盟对美国征收的关税税率不可能高达50%和39%。
苏罗维茨基尝试计算方法后表示,美国的“对等关税”税率确实可粗略理解为,美国对贸易伙伴的贸易逆差除以美自贸易伙伴的进口总额。比如,美国与印度尼西亚的贸易逆差为179亿美元,印尼对美出口额为280亿美元,相除后结果为64%,与美国政府声称经过认真评估计算的关税税率一致。
